Pathology
Robotic Excision of Endometriosis
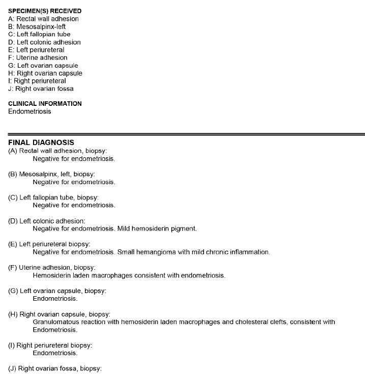
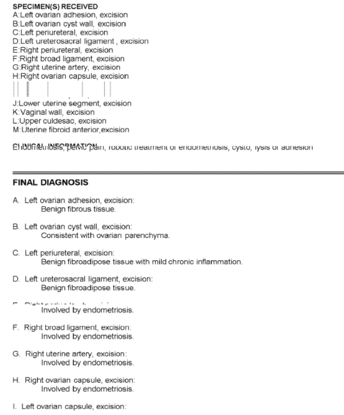
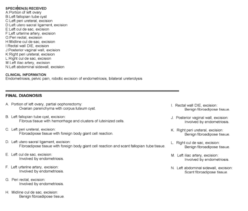
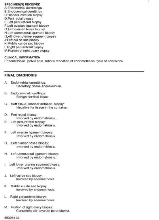
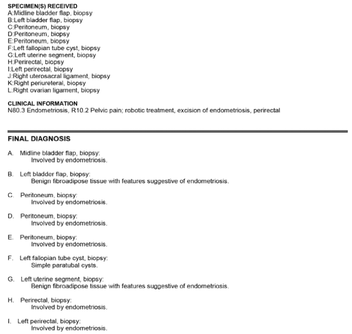
Endometriosis excision is the preferred method of treatment because it removes damaged tissue down to its roots. If endometriosis tissue is left behind, tissue can continue to grow and patients will continue to experience pain. With excision, there is a significant decrease in scar tissue and damage to organs and other healthy tissues. Once the diseased tissue is removed, the specimen is sent to pathology to specifically diagnose the tissue as endometriosis and to rule out endometrial cancer. Pathology reports help identify the severity of the disease and thoroughness of the procedure.
Check out the pathology reports below to see the intricate and extension work of our surgeons.
*We have removed all patient information from these pathology reports to ensure that we are HIPAA compliant and uphold our promise of patient privacy and security.
Pathology Reports
Do you think you may have similar pathology?
Schedule a virtual appointment to discuss with a provider today!

